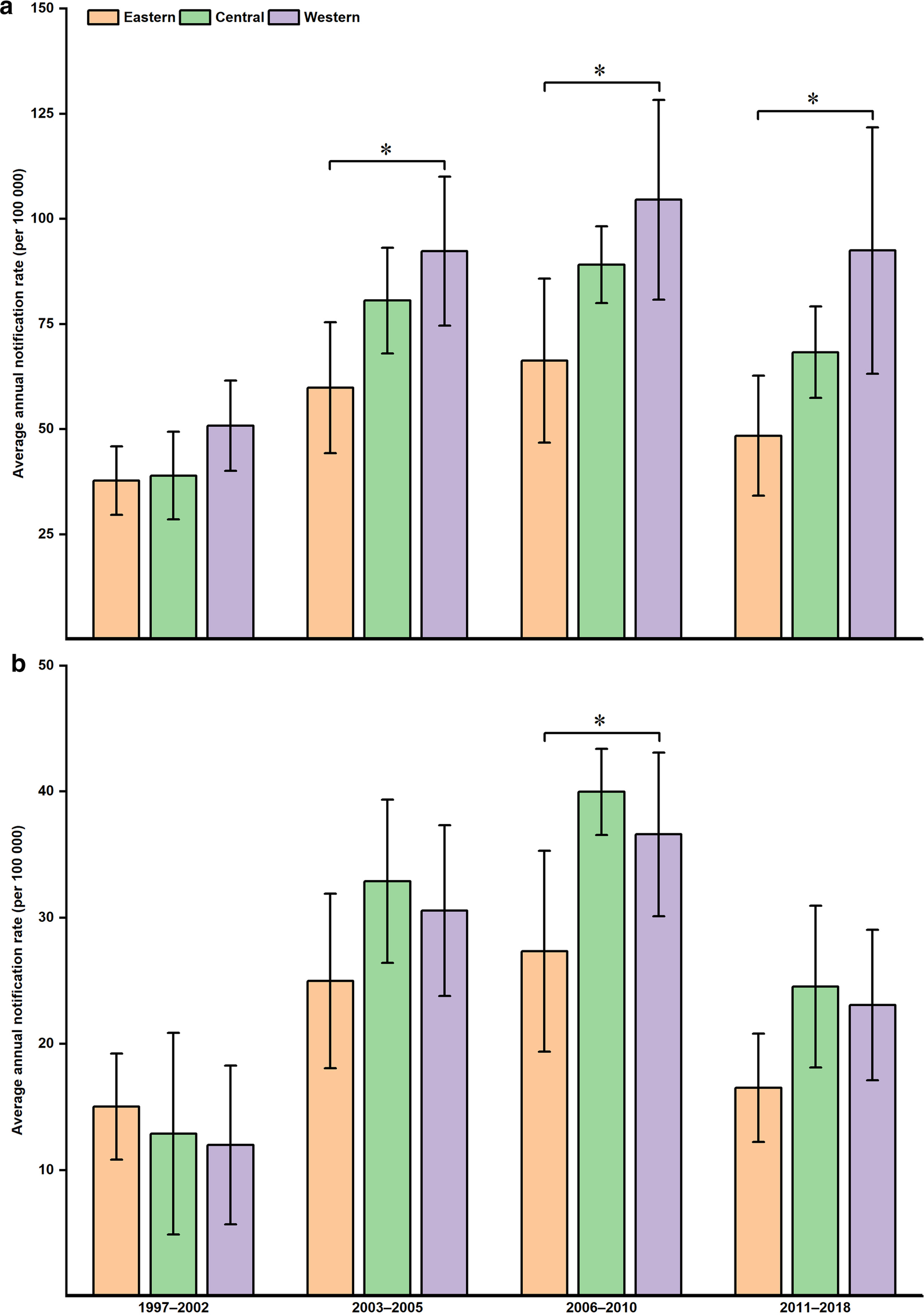
Fig. 3From: Changes in newly notified cases and control of tuberculosis in China: time-series analysis of surveillance dataComparison of newly notified TB cases (a) and newly smear-positive TB cases (b) in different geographic regions of China during different time periods. *Statistically significant difference (P < 0.05). Data are indicated as means and 95% CIsBack to article page